全部知识点
以下程序执行结果是___________。
#include<stdio.h>
func(int a,int b)
{
static int m,i=2;
i+=m+1;
m=i+a+b;
return m;
}
int main()
{
int k=4,m=1,p,i;
for(i=1;i<=2;i++)
{
p=func(k,m);
printf("%d ",p);
}
return 0;
}以下程序的执行结果是__________。
#include<stdio.h>
long fun(int n)
{
long s;
if(n==1||n==2)
s=2;
else
s=n+fun(n-1);
return s;
}
int main()
{
printf("%ld",fun(5));
return 0;
}以下程序执行结果是_________。
#include<stdio.h>
int main()
{
int i,j,row=0,col=0,m;
int arr[3][2]={100,110,120,28,91,35};
m=arr[0][0];
for(i=0;i<3;i++)
for(j=0;j<2;j++)
if(arr[i][j]>m)
{
m=arr[i][j];
row=i;
col=j;
}
printf("%d %d %d\n",m,row,col);
return 0;
}打印出所有“水仙花数”,所谓:“水仙花数”是指一个三位数,其各位数字立方和等于该数本身。例如:153是一个水仙花数,因为153=1*1*1+5*5*5+3*3*3
#include<stdio.h>
#include<math.h>
int main()
{
int x=100,a,b,c;
while(___1___)
{
a=x/100;
b=___2___;
c=x%10;
if(x==___3___)
printf("%5d",x);
____4____;
}
return 0;
}下面程序功能是:从键盘读入一个可以带空格的字符串(假设字符串长度不超过10),将它逆序输出。
#include<stdio.h>
#include<string.h>
int main()
{
char str[11],tmp;
int i,j;
____1____;
for(i=0,j=0;___2____,i<j;i++,j--)
{
tmp=str[i];
___3___;
str[i]=tmp;
}
printf("%s\n",str);
return 0;
}读文件E:\story.txt,在显示器上输出的内容。
#include<stdio.h>
#include<stdlib.h>
int main()
{
char ch;
FILE *fp;
fp=fopen("E:\\story.txt","r");
if(!fp)
{
printf("Cannot open input file.\n");
exit(0);
}
while(__1___!=EOF)
{
___2____; //输出该字符
}
___3____;
return 0;
}编写一个程序,包含main、readin、sort、与print四个函数。该程序的功能是:调用readin函数从键盘读入n个整数(n<=10),调用print函数输出排序前的数列,在调用sort函数对元素值用选择法由大到小的排序,最后调用print函数输出排序后的数列,各个函数的原型如下:
void readin(int *a,int n); void sort(int *a,int n); void print(int *a,int n);
请写出完整的程序代码。
请阅读程序段:
int x=1;
printf("%d\n",-x);上面程序段的输出结果是_________。
C语言源程序的基本单位是_________。
在C语言中,输入操作是由库函数_____________完成的,输出操作是由库函数__________完成的。
若有定义语句:
int b=7; float a=2.5,c=4.7;
则表达式:
a+(int)(b/3*(int)(a+c)/2)%4
的值为________。
若a是int型变量,则表达式(a=4.5,a*2),a+6的值为___________。
请填空:
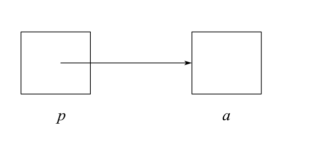
建立如图所示存储结构所需说明语句是___________。
建立如图所示为变量a输入数据的输入语句是___________。
建立如图所示存储结构所需的赋值语句是___________。

执行下面程序段后,k的值为________。
k=1;
n=263;
do
{
k*=n%10;
n/=10;
}while(n);假设变量a和b均为整型,以下语句可以不借助任何变量把a、b中的值进行交换,请填空。
a+=_______; b=a-______; a-=_______;
若有以下定义和语句,为使变量c1得到字符‘A’,变量c2得到字符‘B’,正确的输入形式是________。
char c1,c2;
scanf("%4c%4c",&c1,&c2);字符串“ab\n\\012\\\”的长度是________。
以下程序运行结果是___________。
#include<stdio.h>
int main()
{
int m=177;
printf("%o\n",m);
return 0;
}以下程序输出结果是___________。
#include<stdio.h>
int main()
{
int a=325;
double x=3.1415926;
printf("a=%+06dx=%+e\n",a,x);
return 0;
}若运行一下程序时输入:-2<回车>,则程序的输出结果是__________。
#include<stdio.h>
int main()
{
int a,b;
scanf("%d",&a);
b=(a>=0)?a:-a;
printf("b=%d",b);
return 0;
}