全部知识点
已知字母A的ASCII码值为65,以下程序的输出结果是__________。
#include<stdio.h>
int main()
{
char a,b;
a='A'+'4'-'3';
b='A'+'6'-'2';
printf("a=%d,b=%c\n",a,b);
return 0;
}以下程序的输出结果是________。
#include<stdio.h>
int main()
{
int a=325;
double x=3.1415926;
printf("a=%+06dx=%+e\n",a,x);
return 0;
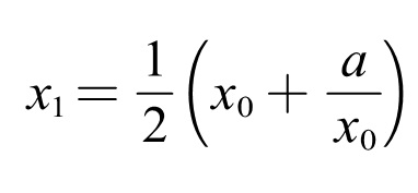
}以下程序时应用递归算法求某数a的平方根,请填空,求平方根的迭代公式如下:

#include<stdio.h>
#include<math.h>
double mysqrt(double a,double x0)
{
double x1,y;
x1=___1___;
if(fabs(x1-x0)>0.00001)
y=mysqrt(___2___);
else y=x1;
return y;
int main()
{
double x;
printf("Enter x:");
scanf("%lf",&x);
printf("The sqrt of %f=%f\n",x,mysqrt(x,1.0));
return (0);
}
}以下函数fun的功能是:统计用数字0~9可以组成多少个位值相同的3位偶数,请填空。
#include<stdio.h>
int fun()
{
int n=0,i,j,k;
for(i=1;i<=9;i++)
for(k=0;k<=8;k__1__)
for(j=0;j<=9;j++)
if(__2__)
n++;
return n;
}
int main()
{
n=fun();
printf("n=%d\n",n);
return (0);
}下面程序的运行结果是_________。
#include<stdio.h>
int main()
{
int i,t,sum=0;
for(t=i=1;i<=10; )
{
sum+=t;
++i;
if(i%3==0)
t=-i;
else
t=i;
}
printf("sum=%d",sum);
return 0;
}下面程序运行结果是_______。
#include<stdio.h>
int main()
{
int i=0;
char a[]="abm",b[]="aqod",c[10];
while(a[i]!='\0'&&b[i]!='\0')
{
if(a[i]>b[i])
c[i]=a[i]-32;
else
c[i]=b[i]-32;
++i;
}
c[i]='\0';
puts(c);
return 0;
}以下程序的功能是判断输入的某个年份是否是闰年,请填空。
#include<stdio.h>
int main()
{
int y,f;
scanf("%d",&y);
if(y%400==0)
f=1;
else if(__1___)
f=1;
else
___2___;
if(f)
printf("%d is",y);
else printf("%d is not",y);
printf("a leap year\n");
return 0;
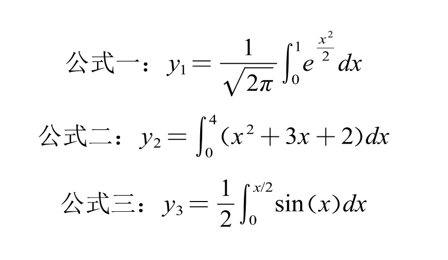
}有如下数学公式:

已知梯形法求积分公式为:

(其中n为积分区间的等分数)函数trap是一个利用梯形法求定积分的通用求积分函数。double pexp( )是计算公式一的函数,double poly( )是计算公式二的函数,请根据以下调用语句,完成trap函数中的填空。
调用语句:
y1=trap(pexp,0.0,1.0)/sqrt(2.0*3.1416);
y2=trap(sin,0.0,3.1416/2.0)/2.0;
y3=trap(polyt,0.0,4.0);
double trap(__1___,double a,double b)
{
double t,h;
int i,n=1000;
t=((*fun)(a)+(*fun)(b))/2.0;
h=fabs(a-b)/(double)(n);
for(i=1;i<=n-1;i++)
t+=__2__;
t*=h;
return t;
}定义一个带参得宏,用以判断整数n是否能被x整除,编写程序,从终端输入一个整数,调用宏验证其是否能同时被3和7整除。
设文件number.dat中存放了一组整数。请编写程序统计并输出文件中正整数、零和负整数的个数。
C语言源程序中整型常量可以用八进制数表示,此时必须以__________为前缀。
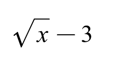
有数学表达式:
,其C语言表达式为_____________。
有变量定义char c,*s=NULL;则sizeof(c)的值为________,sizeof(s)的值为_______。
若s是int型变量,且s=7,则表达式s/2+(s+1)%2的值为________。
用于循环体中退出本层循环的语句是___________语句。
C语言中根据数据的组织形式,把文件分为文本文件盒_________两种。
声明一个具有全局作用域的外部函数,需要使用的关键字是___________。
单链表的结点类型定义为:
struct NODE
{
int data;
struct NODE *next;
}head,p,q;指针p指向链表中间的某一个结点处,在其后插入指针q所指向的结点,需要用两条语句实现,依次是:q->next=p->next;和___________。
设有说明语句int (*ptr)[4],那么ptr是___________。
以下程序执行结果是_________。
#include<stdio.h>
int main()
{
int i;
for(i=3;i<13;i++)
{
if(i%4==0)
continue;
else if(i/10)
break;
else
printf("%d",i);
}
return 0;
}