全部知识点
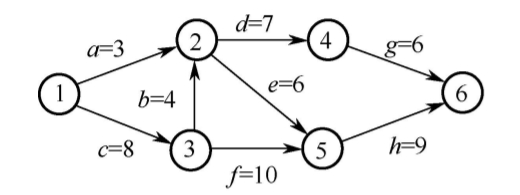
下图所示的 AOE 网表示一项包含 8 个活动的工程。活动 d 的最早开始时间和最迟开始 时间分别是()。

用有向无环图描述表达式 (x+y)((x+y)/x) ,需要的顶点个数至少是()。
选择一个排序算法时,除算法的时空效率,下列因素中,还需要考虑的是()。
I.数据的规模
II.数据的存储方式
III.算法的稳定性
IV.数据的初始状态
现有长度为 11 且初始为空的散列表 HT,散列函数是 H(key) = key % 7,采用线性探查 (线性探测再散列)法解决冲突。将关键字序列 87, 40, 30, 6, 11, 22, 98, 20 依次插入 HT 后,HT 查找失败的平均查找长度是()。
设主串 T = "abaabaabcabaabc",模式串 S = "abaabc",采用 KMP 算法进行模式匹配,到匹配成功时为止,在匹配过程中进行的单个字符间的比较次数是()。
排序过程中,对尚未确定最终位置的所有元素进行一遍处理称为一“趟”。下列序列中,不可能是快速排序第二趟结果的是()。
设外存上有 120 个初始归并段,进行 12 路归并时,为实现最佳归并,需要补充的虚段 个数是()。
下列关于冯·诺依曼结构计算机基本思想的叙述中,错误的是()。
考虑以下 C 语言代码:
unsigned short usi = 65535; short si = usi;
执行上述程序段后,si 的值是()。
下列关于缺页处理的叙述中,错误的是()。
某计算机采用大端方式,按字节编址。某指令中操作数的机器数为 1234 FF00H,该操作数采用基址寻址方式,形式地址(用补码表示)为 FF12H,基址寄存器的内容为 F000 0000H,则该操作数的 LSB(最低有效字节)所在的地址是()。
下列有关处理器时钟脉冲信号的叙述中,错误的是()。
某指令功能为 R[r2]←R[r1] + M[R[r0]],其两个源操作数分别采用寄存器、寄存器间接寻址方式。对于下列给定部件,该指令在取数及执行过程中需要用到的是()。
I.通用寄存器组(GPRs)
II.算术逻辑单元(ALU)
III.存储器(Memory)
IV.指令译码器(ID)
在采用“取指、译码/取数、执行、访存、写回”5 段流水线的处理器中,执行如下指令序列,其中 s0、s1、s2、s3 和 t2 表示寄存器编号。
I1:add s2,s1,s0 //R[s2]←R[s1]+R[s0] I2:load s3,0(t2) //R[s3]←M[R[t2]+0] I3:add s2,s2,s3 //R[s2]←R[s2]+R[s3] I4:store s2,0(t2) //M[R[t2]+0]←R[s2]
下列指令对中,不存在数据冒险的是()。
假定一台计算机采用 3 通道存储器总线,配套的内存条型号为 DDR3-1333,即内存条所接插的存储器总线的工作频率为 1333MHz,总线宽度为 64 位,则存储器总线的总带宽大约是()。
下列关于磁盘存储器的叙述中,错误的是()。
某设备以中断方式与 CPU 进行数据交换,CPU 主频为 1GHz,设备接口中的数据缓冲寄存器为 32 位,设备的数据传输率为 50kB/s。若每次中断开销(包括中断响应和中断处理)为 1000 个时钟周期,则 CPU 用于该设备输入/输出的时间占整个 CPU 时间的百分比最多是()。
下列关于 DMA 方式的叙述中,正确的是()。
I.DMA 传送前由设备驱动程序设置传送参数
II.数据传送前由 DMA 控制器请求总线使用权
III.数据传送由 DMA 控制器直接控制总线完成
IV.DMA 传送结束后的处理由中断服务程序完成
下列关于线程的描述中,错误的是()。
下列选项中,可能会将进程唤醒的事件是()。
I.I/O 结束
II.某进程退出临界区
III.当前进程的时间片用完