全部知识点
计算机网络:
(9分)主机H登录FTP服务器后自服务器上估一个大小为18000B的文件F,假设H传输F建立数据连接时,选择的初始序号为100,MTU=1000B,拥塞控制初始闻值为4MSS,RTT=10ms,忽略TCP的传输时延,在F的传榆过程中,H以MSS段向服务器发送散据,且未发生差错、丢包和乱序。
(1)FTP的控制连接是持久的还是非持久的?FTP的数据连接是持久的还是非持久的?H登录FTP服务器时,建立的TCP连接是控制连持还是数据连接?
(2)H通过数据连接发送F时,F的第一个字节序号是多少?在断开数据连接的过程中,FTP发达的第二次挥手的ACK序号是?
(3)F发送过程中,当H收到确认序号为2101的确认段时,H的拥塞窗口调整为多少?收到确认序号为7101的确认段时,H的拥塞窗口调整为多少?
(4)H从请求建立数据连接开始,到确认F已被服务器全部接收为止,至少需要多长时间期间应用层数据平均发送速率是多少?
[
(13 分)已知非空二叉树 T 的结点值均为正整数,采用顺序存储方式保存,数据结构定义如下:
typedef struct { //MAX_SIZE 为已定义常量
int SqBiTNode[MAX_SIZE]; //保存二叉树结点值的数组
int ElemNum; //实际占用的数组元素个数
} SqBiTree;T 中不存在的结点在数组 SqBiTNode 中用-1 表示。例如,对于下图所示的两棵非空二叉树 T1 和 T2,

T1 的储存结果如下:
T1.SqBiTNode
| 40 | 25 | 60 | -1 | 30 | -1 | -1 | 27 |
T2.ElemNum=10
T2 的储存结果如下:
T2.SqBiTNode
| 40 | 50 | 60 | -1 | 30 | -1 | -1 | -1 | -1 | -1 | 35 |
T2.ElemNum=11
请设计一个尽可能高效的算法,判定一棵采用这种方式存储的二叉树是否为二叉搜索树,若 是,则返回 true,否则,返回 false。要求:
(1)给出算法的基本设计思想。
(2)根据设计思想,采用 C 或 C++语言描述算法,关键之处给出注释。
【答案解析】
【答案一】
(1)算法的基本设计思想
对于采用顺序存储方式保存的二叉树,根结点保存在 SqBiTNode[0]中;当某结点保存在 SqBiTNode[i]中时,若有左孩子,则其值保存在 SqBiTNode[2i+1];若有右孩子,则其值保 存在 SqBiTNode[2i+2]中;若有双亲结点,则其值保存在 SqBiTNode[(i-1)/2]中。
二叉搜索树需要满足的条件是:任一结点值大于其左子树中的全部结点值,小于其右子 树中的全部结点值。中序遍历二叉搜索树得到一个升序序列。
使用整型变量 val 记录中序遍历过程中已遍历结点的最大值,初值为一个负整数。若当 前遍历的结点值小于等于 val,则算法返回 false,否则,将 val 的值更新为当前结点的值。 (2)算法实现
#define false 0
#define ture 1
typedef int bool ;
bool judgeInOrderBST( SqBiTree bt , int k , int * val )
//初始调用时 k 的值是 0
{ if ( k < bt.ElemNum && bt.SqBiTNode [k] ! = -1 )
{
if ( !judgeInOrderBST ( bt , 2 * k+1 , val ) ) return false;
if ( bt.SqBiTNode [k] <= * val ) return false;
* val = bt.SqBiTNode [k] ;
if ( !judgeInOrderBST ( bt , 2 * k+1 , val ) ) return false;
}
return ture;
}【答案二】
(1)算法的基本设计思想
对于采用顺序存储方式保存的二叉树,根结点保存在 SqBiTNode[0]中;当某结点保存在 SqBiTNode[i]中时,若有左孩子,则其值保存在 SqBiTNode[2i+1]中;若有右孩子,则其值 保存在 SqBiTNode[2i+2]中;若有双亲结点,则其值保存在 SqBiTNode[(i-1)/2]中。
二叉搜索树需要满足的条件是:任一结点值大于其左子树中的全部结点值,小于其右子 树中的全部结点值。设置两个数组 pmax 和 pmin。根据二叉搜索树的定义,SqBiTNode[i]中 的值应该大于以 SqBiTNode[2i+1]为根的子树中的最大值(保存在 pmax[2i+1]中),小于以 SqBiTNode[2i+2]为根的子树中的最小值(保存在 pmin[2i+1] 中)。初 始 时, 用数 组 SqBiTNode 中前 ElemNum 个元素的值对数组 pmax 和 pmin 初始化。
在数组 SqBiTNode 中从后向前扫描,扫描过程中逐一验证结点与子树之间是否满足上述 的大小关系。
(2)算法实现
#define false 0
#define ture 1
typedef int bool ;
bool judgeBST( SqBiTree bt )
{ int k , m , * pmin , * pmax ;
pmin = ( int * ) malloc ( sizeof ( int ) * ( bt.ElemNum ) ) ;
pmax = ( int * ) malloc ( sizeof ( int ) * ( bt.ElemNum ) ) ;
for ( k = 0 ; k < bt.ElemNum ; k++ ) //辅助数组初始化
pmin [k] = pmax [k] = bt.SqBiTNode [k] ;
for ( k = bt.ElemNum - 1 ; k > 0 ; k - - )
//从最后一个叶结点向根遍历
{ if ( bt.SqBiTNode [k] ! = -1 )
{ m = ( k - 1 ) / 2 ; //双亲
if ( k % 2 = = 1 && bt.SqBiTNode [m] > pmax [k] )
//其为左孩子
pmin [m] = pmin [k] ;
else if ( k % 2 = = 0 && bt.SqBiTNode [m] < pmin
[k] ) //其为右孩子
pmax [m] = pmax [k] ;
else return false ;
}
}
return ture ;
}(10 分)现有 n(n>100000)个数保存在一维数组 M 中,需要在查找 M 中最小的 10 个数。 请回答下列问题。
(1)设计一个完成上述查找任务的算法,要求平均情况下的比较次数尽可能少,简述其算法 思想(不要程序实现)。
(2)说明你所设计的算法平均情况下的时间复杂度和空间复杂度。
【答案解析】
(1)算法思想
【答案一】
定义含 10 个元素的数组 A,元素值均为该数组类型能表示的最大数 MAX。
for M 中的每个元素 s
当数据全部扫描完毕,数组 A 中保存的就是最小的 10 个数。
【答案二】
定义含 10 个元素的大根堆 H,元素值均为该堆元素类型能表示的最大数 MAX。
for M 中的每个元素 s
if(s
当数据全部扫描完毕,堆 H 中保存的就是最小的 10 个数。
(2)算法平均情况下的时间复杂度是 O(n),空间复杂度是 O(1)
(15 分)某 CPU 中部分数据通路如题 43 图所示,其中,GPRs 为通用寄存器组;FR 为标 志寄存器,用于存放 ALU 产生的标志信息;带箭头虚线表示控制信号,如控制信号 Read、 Write 分别表示主存读、主存写,MDRin 表示内部总线上数据写入 MDR,MDRout 表示 MDR 的内容送内部总线。
请回答下列问题。
(1)设 ALU 的输入端 A、B 及输出端 F 的最高位分别为 A15、B15 及 F15,FR 中的符号标志 和溢出标志分别为 SF 和 OF,则 SF 的逻辑表达式是什么?A 加 B、A 减 B 时 OF 的逻辑表达 式分别是什么?要求逻辑表达式的输入变量为 A15、B15及 F15。

(2)为什么要设置暂存器 Y 和 Z?
(3)若 GPRs 的输入端 rs、rd 分别为所读、写的通用寄存器的编号,则 GPRs 中最多有多少 个通用寄存器?rs 和 rd 来自图中的哪个寄存器?已知 GPRs 内部有一个地址译码器和一个多 路选择器,rd 应连接地址译码器还是多路选择器?
(4)取指令阶段(不考虑 PC 增量操作)的控制信号序列是什么?若从发出主存读命令到主存 读出数据并传送到 MDR 共需 5 个时钟周期,则取指令阶段至少需要几个时钟周期?
(5)图中控制信号由什么部件产生?图中哪些寄存器的输出信号会连到该部件的输入端?
【答案解析】
(1)SF =F15;加运算时,
减运算时,![]()
(2)因为单总线结构中每一时刻总线上只有一个数据有效,而 ALU 有两个输入端和一个输 出端,因而需要设置 Y 和 Z 两个暂存器,以缓存 ALU 的一个输入端和输出端数据。
(3)GPRs 中最多有 24=16 个通用寄存器;rs 和 rd 来自指令寄存器 IR;rd 应连接地址译码 器。
(4)取指阶段的控制信号序列为:①PCout,MARin ②Read ③MDRout,IRin。取指令阶段 至少需要 7 个时钟周期。
(5)图中控制信号由控制部件(CU)产生。指令寄存器 IR 和标志寄存器 FR 的输出信号会 连到控制部件的输入端。
(8 分)假设某磁盘驱动器中有 4 个双面盘片,每个盘面有 20000 个磁道,每个磁道有 500 个扇区,每个扇区可记录 512 字节的数据,盘片转速为 7200r/m(转/分),平均寻道时间为 5ms。 请回答下列问题。
(1)每个扇区包含数据及其地址信息,地址信息分为 3 个字段。这 3 个字段的名称各是什么? 对于该磁盘,各字段至少占多少位?
(2)一个扇区的平均访问时间约为多少?
(3)若采用周期挪用 DMA 方式进行磁盘与主机之间的数据传送,磁盘控制器中的数据缓冲 区大小为 64 位,则在一个扇区读写过程中,DMA 控制器向 CPU 发送了多少次总线请求?若 CPU 检测到 DMA 控制器的总线请求信号时也需要访问主存,则 DMA 控制器是否可以获得 总线使用权?为什么?
【答案解析】
(1)3 个字段的名称为柱面号(或磁道号)、磁头号(或盘面号)、扇区号;该磁盘的柱面号、 磁头号、扇区号字段至少分别占⌈log220000⌉=15 位、⌈log2(4×2)⌉=3 位、⌈log2500⌉=9 位。
(2)该磁盘转一圈的时间为 60×103/7 200≈8.33ms,一个扇区的平均访问时间约为 5+8.33/2+8.33/500≈9.18ms。
(3)在一个扇区读写过程中,DMA 控制器向 CPU 发送了 512B/64b=64 次总线请求。DMA 控制器可以获得总线使用权。因为一旦磁盘开始读写就必须按时完成数据传送,否则会发生 数据丢失。
(7 分)某文件系统的磁盘大小为 4KB,目录项由文件名和索引节点号构成,每个索引节点 占 256 字节,其中包含直接地址项 10 个,一级、二级和三级间接地址项各 1 个,每个地址项 占 4 字节。该文件系统中子目录 stu 的结构如题 45(a)图所示,stu 包含子目录 course 和文 件 doc,course 子目录包含文件 course1 和 course2。各文件的文件名、索引节点号、占用磁盘 块的块号如题 45(b)图所示。

请回答下列问题。
(1)目录文件 stu 中每个目录项的内容是什么?
(2)文件 doc 占用的磁盘块的块号 x 的值是多少?
(3)若目录文件 course 的内容已在内存,则打开文件 coursel 并将其读入内存,需要读几个 磁盘块?说明理由。
(4)若文件 course2 的大小增长到 6MB,则为了存取 course2 需要使用该文件索引节点的哪 几级间接地址项?说明理由。
【答案解析】
(1)目录文件 stu 中两个目录项的内容是:
| 文件名 | 索引节点号 |
| course | 2 |
| doc | 10 |
(2)文件 doc 占用的磁盘块的块号 x 的值为 30。
(3)需要读 2 个磁盘块。先读 course1 的索引节点所在的磁盘块,再读 course1 的内容所在 的磁盘块。
(4)存取 course2 需要使用索引节点的一级和二级间接地址项。6MB 大小的文件需占用 6MB/4KB=1536 个磁盘块。直接地址项可记录 10 个磁盘块号,一级间接地址块可记录 4KB/4B=1024 个磁盘块号,二级间接地址块可记录 1024 × 1024 个磁盘块号,而 10+1024<1536<10+1024+1024×1024。
(8 分)某进程的两个线程 T1 和 T2 并发执行 A、B、C、D、E 和 F 共 6 个操作,其中 T1 执行 A、E 和 F,T2 执行 B、C 和 D。题 46 图表示上述 6 个操作的执行顺序所必须满足的约 束:C 在 A 和 B 完成后执行,D 和 E 在 C 完成后执行,F 在 E 完成后执行。请使用信号量的 wait( )、signal( )操作描述 T1 和 T2 之间的同步关系,并说明所用信号量的作用及其初值。

【答案解析】
Semaphore ?AC = 0 ; //描述 A、C 之间的同步关系 Semaphore ?CE = 0 ; //描述 C、E 之间的同步关系 | |
T1: A ; signal ( SAC ) ; wait ( SCE ) ; E ; F ; | T2: B ; wait ( SAC ) ; C ; signal ( SCE ) ; D ; |
(9 分)某网络拓扑如题 47 图所示,R 为路由器,S 为以太网交换机,AP 是 802.11 接入 点,路由器的 E0 接口和 DHCP 服务器的 IP 地址配置如图中所示;H1 与 H2 属于同一个广播 域,但不属于同一个冲突域;H2 和 H3 属于同一个冲突域;H4 和 H5 已经接入网络,并通过 DHCP 动态获取了 IP 地址。现有路由器、100BaseT 以太网交换机和 100BaseT 集线器(Hub) 三类设备各若干台。
请回答下列问题。
(1)设备 1 和设备 2 应该分别选择哪类设备?
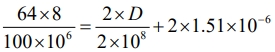
(2)若信号传播速度为 2×108m/s,以太网最小帧长为 64B。信号通过设备 2 时会产生额外 的 1.51μs 的时间延迟,则 H2 与 H3 之间可以相距的最远距离是多少?

(3)在 H4 通 DHCP 动态获取 IP 地址过程中,H4 首先发送了 DHCP 报文 M,M 是哪种 DHCP 报文?路由器 E0 接口能否收到封装 M 的以太网帧?S 向 DHCP 服务器转发的封装 M 的以太 网帧的目的 MAC 地址是什么?
(4)若 H4 向 H5 发送一个 IP 分组 P,则 H5 收到的封装 P 的 802.11 帧的地址 1、地址 2 和地 址 3 分别是什么?
【答案解析】
(1)设备 1 选择 100BaseT 以太网交换机,设备 2 选择 100BaseT 集线器。
(2)设 H2 与 H3 之间的最远距离是 D,根据 CSMA/CD 协议的工作原理有:
![]()
解得:D=210m。
(3)M 是 DHCP 发现报文(DISCOVER 报文);路由器 E0 接口能收到封装 M 的以太网帧; 目的 MAC 地址是 FF-FF-FF-FF-FF-FF。
(4)H5 收到的帧中,地址 1、地址 2 和地址 3 分别是:00-11-11-11-11-E1、00-11-11-11-11- C1 和 00-11-11-11-11-D1。
软件生存周期一般可分为 、可行性研究、 、设计编码、 、运行与维护阶段。
按软件的功能进行划分,软件可以划分为 、 、和应用软件。
可行性研究主要集中在以下四个方面 、 、 和抉择。
用户界面的 是用户界面设计最重要的也是最基本的目标。
常见的软件概要设计方法有 3 大类:以数据流图为基础构造模块结构的 方法,以数据结构为基础构造模块的 方法,以对象、类、继承和通信为基础的 方法。
和 共同构成系统的逻辑模型。
软件测试的方法有 和 (即黑盒法)。
单元测试一般以 测试为主, 测试为辅。
成本估计方法主要有 、 和算法模型估计三种类型。
什么是软件危机?为什么会产生软件危机?
[答案解析]
软件危机是指软件在开发和维护过程中遇到的一系统严重问题,主要包含二方面的问题,一是如何开发利用软件,二是如何维护数量不断膨胀的已有软件。产生软件危机的原因,一方面与软件本身的特点有关,另一方面和软件开发与维护的方法不正确有关。
耦合性有哪几种类型?其耦合度的顺序如何?
[答案解析]
低:非直接耦合→数据耦合→标记耦合→控制耦合→外部耦合→公共耦合→内容耦合:高
简述需求分析工作可以分成哪四个方面?
软件需求分析的有哪三个基本原则?
[答案解析]
需求分析阶段分成四个方面:对问题的识别、分析与综合、制定规格说明和评审。
三个基本原则:必须能够表达和理解问题的数据域和功能域;必须按自顶向下、逐步分解的方式对问题进行分解和不断细化;要给出系统的逻辑视图和物理视图。