全部知识点
第5161题
某二叉树中有15个度为1的结点,16个度为2的结点,则该二叉树 中总的结点数为( )。
第5162题
某二叉树中共有935个结点,其中叶子结点有435个,则该二叉己 树中度为2的结点个数为( )。
第5163题
某二叉树共有845个结点,其中叶子结点有45个,则度为1的结点 数为( )。
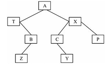
第5164题
设有下列二叉树:

对此二叉树前序遍历的结果为( )。
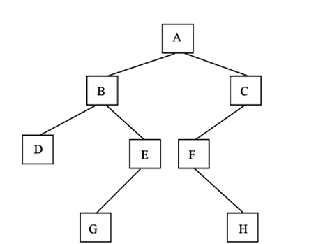
第5165题
设二叉树如下:

则前序遍历为( )。
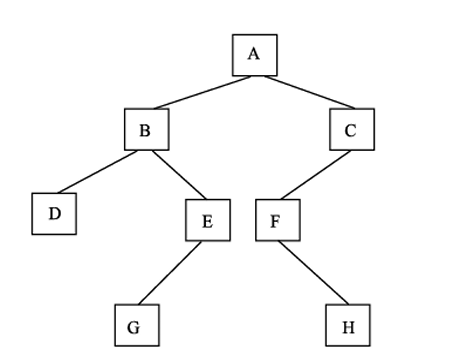
第5166题
设二叉树如下:

则中序遍历为( )。
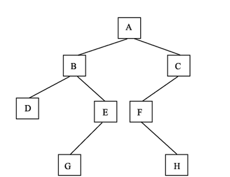
第5167题
设二叉树如下:

则后序序列为( )。
第5168题
设某二叉树的前序遍历为ABC,中序遍历为CBA,则该二叉树的 后序遍历为( )。
第5169题
设某二叉树的后序遍历为CBA,中序遍历为ABC,则该二叉树的 前序遍历为( )。
第5170题
二叉树的中序序列为BDCA,后序序列为DCBA,则前序序列为 ( )。
第5171题
己知二叉树后序遍历序列是CDABE,中序遍历序列是CADEB, 它的前序遍历序列是( )。
第5172题
一棵二叉树的前序遍历结果是ABCEDF,中序遍历结果是 CBAEDF,则其后序遍历的结果是( )。
第5173题
某二叉树的前序遍历为ABCDEFG,中序遍历为DCBAEFG,则 该二叉树的深度(根结点在第1层)为( )。
第5174题
某二叉树的中序遍历为DCBAEFG,后序遍历为DCBGFEA,则 该二叉树的深度(根结点在第1层)为( )。
第5175题
对下二叉树进行中序遍历的结果是( )。

第5176题
对下列二叉树进行前序遍历的结果为( )。

第5177题
下列叙述中正确的是( )。
第5178题
在长度为n的有序线性表中进行二分查找,最坏情况下需要比较 的次数是( )。
第5179题
为了对有序表进行二分查找,则要求有序表( )。
第5180题
下列数据结构中,能用二分法进行查找的是( )。