全部知识点
下列那一个指令可以用来切换至不同的 runlevels( )
欲查询 bind 套件是否有安装,可用下列那一指令( )
欲安装 bind 套件, 应用下列那一指令( )
欲移除 bind 套件,应用下列那一指令( )
下列那一个指令可以用来查看系统负载情形( )
档案权限 755 , 对档案拥有者而言, 何义( )
下面哪个系统目录中存放了系统引导、启动时使用的一些文件和目录( )。
如何删除目录 /tmp下的所有文件及子目录( )。
可以用来对文件xxx.gz解压缩的命令是( )
对文件重命名的命令为( )
一下哪个环境变量表示当前路径( )。
若栈S1中保存整数,栈S2中保存运算符,函数F( )依次执行下述各步操作:
(1)从S1中依次弹出两个操作数a和b;
(2)从S2中弹出一个运算符op;
(3)执行相应的运算b op a;
(4)将运算结果压人S1中。
假定S1中的操作数依次是5,8,3,2(2在栈顶),S2中的运算符依次是 * , - , +(+在栈顶)。调用3次F( )后,S1栈顶保存的值是( )。
现有队列Q与栈S,初始时Q中的元素依次是 1, 2, 3, 4, 5, 6(1在队头),S为空。若仅允许下列3种操作:①出队并输出出队元素;②出队并将出队元素入栈;③出栈并输出出栈元素,则不能得到的输出序列是( )。
设有一个12×12的对称矩阵M,将其上三角部分的元素mi, j(1≤i≤j≤12)按行优先存入C语言的一维数组N中,元素m6, 6在N中的下标是( )。
设一棵非空完全二叉树T的所有叶结点均位于同一层,且每个非叶结点都有2个子结点。若T有k个叶结点,则T的结点总数是( )。
已知字符集{a, b, c, d, e, f},若各字符出现的次数分别为6, 3, 8, 2, 10, 4,则对应字符集中各字符的哈夫曼编码可能是( )。
已知二叉排序树如下图所示,元素之间应满足的大小关系是( )。
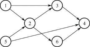
下列选项中,不是如下有向图的拓扑序列的是( )。
高度为5的3阶B树含有的关键字个数至少是( )。
现有长度为7、初始为空的散列表HT,散列函数 H(k) = k % 7,用线性探测再散列法解决冲突。将关键字 22, 43, 15依次插人到HT后,查找成功的平均查找长度是( )。