全部知识点
第4141题
有以下程序:
#include <stdio.h>
main()
{
int x;
scanf("%d",&x);
if(x<=3);
else if(x!=10)
printf("%d\n",x);
}程序运行时,输入的值在( )范围才会有输出结果。
第4142题
若有以下程序
#include <stdio.h>
main()
{
int a=1,b=2,c=3,d=4;
if((a==2)||(b==1))c=2;
if((c==3)&&(d==-1))a=5;
printf("%d,%d,%d.%d\n",a,b,c,d);
}则程序的输出结果是( )。
第4143题
有以下程序
#include <stdio.h>
main()
{
int a=0,b=0,c=0,d=0;
if(a=1)b=1;c=2;
else d=3;
printf("%d,%d,%d,%d\n",a,b,c,d);
}程序输出( )。
第4144题
有如下程序
:#include <stdio.h>
main()
{
int x=0x13;
if(x=0x18)printf("T");
printf("F");
printf("\n");
}程序运行后的输出结果是( )。
第4145题
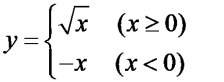
有以下计算公式:

若程序前面已在命令行中包含math.h文件,不能够计算上述公式的程 序段是( )。
第4146题
如有表达式(w)?(-x):(++y),则其中与w等价的表达式是 ( )。
第4147题
若有定义:int x,y;并已正确给变量赋值,则以下选项中与表达式(x-y)?(x++):(y++)中的条件表达式(x-y)等价的是( )。
第4148题
有如下嵌套的if语句:
if(a<b) if(a<c)k="a;" else="" k="c;" if(b<c)k="b;"
以下选项中与上述if语句等价的语句是( )。
第4149题
以下程序段中,与语句:k=a>b?(b>c?1:0):0;功能相同的是( )。
第4150题
有语句:k=x
第4151题
若有定义:
int a=0,b=0,c=0,d=0;
有C语言表达式 (a++ && b++)? c++ : d++,以下关于其执行顺序的叙述
正确是( )。
第4152题
若有定义:
int a=0,b=0,c=0,d=0;
以下关于C语言表达式:(++aǁ++b)? ++c:++d执行顺序的叙述正确的是
( )。
第4153题
有以下程序:
#include <stdio.h>
main()
{
char a='H';
a=(a>='A'&&a<='z')?(a-'A'+'a'):a;
printf("%c\n",a);
}程序运行后的输出结果是( )。
第4154题
有以下程序
#include <stdio.h>
main()
{
int x;
for(x=3;x<6;x++)
printf((x%2)?("*%d"):("#%d"),x);
printf("\n");
}程序的输出结果是( )。
第4155题
有以下程序:
#include <stdio.h>
int m1(int x,int y)
{
return x<=y?x:y;
}
int m2(int x,int y)
{
return x<=y?y:x;
}
int fun(int a,int b){
return a+b;
}
main()
{
int x=2,y=3,z=1;
printf("%d\n",fun(m1(x,y),m2(y,z)));
}程序的运行结果是( )。
第4156题
有以下程序:
#include <stdio.h>
main()
{
int a=0,b=0,c=0,d=0;
(++a||++b)?++c:++d;
printf("%d,%d,%d,%d\n",a,b,c,d);}程序的运行结果是( )。
第4157题
下列叙述中正确的是( )。
第4158题
若有定义:
float x=1.5; int a=1,b=3,c=2;
则正确的switch语句是( )。
第4159题
若有定义语句int a,b;double x;则下列选项中没有错误的是( )。
第4160题
有以下程序:
#include <stdio.h>
main()
{
int k,n=0;char c,str[]="teach";
for(k=0;str[k];k++)
{
c=str[k];
switch(k)
{
case 1: case 3: case 5: putchar(c); printf("%d",++n); break;
default:putchar('N');
}
}
}程序的运行结果是( )。