全部知识点
关于汇编语言,下列说法错误的是( )。
( )是一种选优搜索法,按选优条件向前搜索,以达到目标。当探索到某一步时,发现原先选择并不优或达不到目标,就退回一步重新选择。
1956 年( )手语肖克利、巴丁和布拉顿,以表彰他们对半导体的研究和晶体管效应的发 现。
对一个有向图而言,如果每个节点都存在到达其他任何节点的路径,那么就称它是强连通的。例如,右图就是一个强连通图。事实上,在删掉边( )后,它依然是强连通的。

从 ENIAC 到当前最先进的计算机,冯·诺依曼体系结构始终占有重要的地位。冯·诺依曼体系结构的核心内容是( )。
在二进制下, 1100011+ ( )=1110000 。
字符 ”A”的 ASCII 码为十六进制 41 ,则字符 ”Z”的 ASCII 码为十六进制的 ( )。
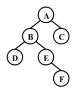
下图是一棵二叉树,它的先序遍历是( )。

寄存器是( )的重要组成部分。
广度优先搜索时,需要用到的数据结构是( )。
在使用高级语言编写程序时,一般提到的“空间复杂度”中的“空间”是指( )。
应用快速排序的分治思想,可以实现一个求第 K 大数的程序。假定不考虑极端的最坏 情况,理论上可以实现的最低的算法时间复杂度为( )。
为解决 Web 应用中的不兼容问题,保障信息的顺利流通, ( )制订了一系列标准, 涉及 HTML、XML、CSS 等,并建议开发者遵循。
体育课的上课铃声响了,同学们都陆续地奔向操场,按老师的要求从高到矮站成一排。 每个同学按顺序来到操场时, 都从排尾走向排头, 找到第一个比自己高的同学, 并站在 他的后面。这种站队的方法类似于( )算法。
1956 年( )授予肖克利 (William Shockley) 、巴丁 (John Bardeen) 和 布拉顿 (Walter Brattain) ,以表彰他们对半导体的研究和晶体管效应的发现
如果根节点的深度记为 1,则一棵恰有 2011 个叶结点的二叉树的深度可能是 ( ).
在布尔逻辑中,逻辑“或”的性质有( )。
一个正整数在十六进制下有 100 位,则它在二进制下可能有( )位。
汇编语言( )。
现有一段文言文, 要通过二进制哈夫曼编码进行压缩。 为简单起见, 假设这段文言文只 由 4 个汉字“之”、“乎”、“者”、“也”组成,它们出现的次数分别为 700 、600 、300 、 400 。那么,“也”字的编码长度可能是( )。